(question) Frage

Wenn ich einen Schrupp- oder Schlichtprozess programmiere, möchte ich Eintauchen in Nuten vermeiden !

(tick) Lösung

Sie können dies mit einer Option der Strategieseite namens Hinterschnitt .

  • Standardmäßig ist diese Option auf Ja gesetzt: Die Werkzeugbahn beinhaltet die Nuten.

  • Wenn Sie die Option auf Nein setzen, werden die Nuten vermieden.

  • Eine weitere Option ermöglicht es, einen Minimalwert zum Zulassen von Hinterschnitten zu definieren; Sie können ein Beispiel mit einem auf 10 mm definierten Wert sehen. Unter 10 mm Breite werden die Nuten nicht bearbeitet.

Weitere Informationen und ein Video finden Sie hier: Hinterschnitt


(question) Frage

Wie programmiere ich einen Schlichten mit einem Rückwärts Werkzeugweg , der Nuten vermeidet und die Planfräsen Operation durchführt?

(tick) Lösung

  • Programmieren Sie zuerst das Schlichten mit einem Rückwärts Werkzeugweg , d. h. von links nach rechts in einer Standard-Drehmaschine.

  • Sie müssen „Hinterschnitt auf Ja , setzen, wenn Sie die Schulterbereiche bearbeiten möchten!

  • Aber dann fährt das Werkzeug auch in die Nuten, was wir in dieser Situation nicht wollen! Um dem entgegenzuwirken, bereiten wir Bearbeitungszuschläge in den Nutenformen vor.

Sehen Sie sich das Video an, das alle Schritte dieses Prozesses zeigt:

Klicken Sie auf den Link, um weitere Informationen über Bearbeitungszuschläge

Finishing with back toolpath-20240814-051026.png


(question) Frage

Wie Transfer ich ein Werkstück von Fräsen auf Drehen ?

(tick) Lösung

Hier sind die Schritte zum Übertragen eines in Fräsen programmierten Teils in die Drehbearbeitungsumgebung.

Sehen Sie sich das Video sorgfältig an, um den Prozess zu beachten; hier verwenden wir MTE, aber der Prozess ist auch ohne MTE gleich.

Transfer Milling to Turning-20240814-051127.png


(question) Frage

Wie programmiere ich Gewindedrehen ?

(tick) Lösung

Aus dem Sandvik Benutzerhandbuch

Rechtsgewinde auf der Hauptspindel gesehen

Rechtsgewinde auf der Gegenspindelansicht (um 180 Grad gedreht)

Tabelle Gewindetyp / Wkz. / Bearbeitungsrichtung / Drehrichtung

Gewindetyp

Werkzeug

Zwangsgekoppelt

Drehrichtung

SN

Vorschubrichtung

Rechtsgewinde

Rechts

(blue star)

Gegen den Uhrzeigersinn

(M3)

gleitend (an die Auskleidung)

Rechtsgewinde

Links

(blue star)

Im Uhrzeigersinn

(M4)

ziehend (weg von der Auskleidung)

Linksgewinde

Links

(blue star)

Im Uhrzeigersinn

(M4)

gleitend (an die Auskleidung)

Linksgewinde

Rechts

(blue star)

Gegen den Uhrzeigersinn

(M3)

ziehend (weg von der Auskleidung)

Im Uhrzeigersinn & Gegen den Uhrzeigersinn : ist so zu verstehen, dass der Benutzer das Spannfutter von der Richtung des Werkzeugs aus betrachtet und sich die Drehrichtung daraus ergibt.
M3 & M4 : ist so definiert, dass die Maschine über das Spannfutter auf das Bauteil schaut.

Zusammenfassend:

  1. Das rechte Werkzeug kann nur in Kombination mit der Drehrichtung Gegen den Uhrzeigersinn (M3) verwendet werden.

  2. Dies bedeutet, dass ein linkes Werkzeug nur mit der Drehrichtung Im Uhrzeigersinn (M4) verwendet werden kann.

  3. Ein Rechtsgewinde kann daher

    1. Im Uhrzeigersinn und somit linkes Wkz. entstehen immer nur durch Ziehen

    2. Gegen den Uhrzeigersinn und somit rechtes Wkz. entstehen immer nur durch Schieben

  4. Ein Linksgewinde entsprechend bei der Drehrichtung

    1. Im Uhrzeigersinn und somit linkes Wkz. entstehen immer nur durch Schieben

    2. Gegen den Uhrzeigersinn und somit rechtes Wkz. entstehen immer nur durch Ziehen

Dies ergibt folgendes Bild für GO2cam

Rechtsgewinde außen mit linkem Werkzeug

Nur möglich mit Ziehbearbeitung aufgrund des Uhrzeigersinns.

If you simulate this editing in GO2cam Version < 6.08.202 on the Sub Spindle, the wrong direction of rotation seems to be simulated, so that the visual result shows the wrong slope slope.

Rechtsgewinde außen mit rechtem Werkzeug

Nur möglich mit Gleitbearbeitung aufgrund des Gegenuhrzeigersinns.

Rechtsgewinde innen mit rechtem Werkzeug

Nur möglich mit Gleitbearbeitung aufgrund des Gegenuhrzeigersinns

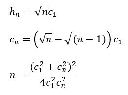
Gewindeparameter

Die Wahl der Parameter für das Gewindedrehen hängt auch vom Werkzeug ab, wie das folgende Beispiel zeigt:

In der SinuTrain-Programmierstation von SIEMENS wird der Gewindezyklus CYCLE97 verwendet, um ein Außengewinde mit einer Steigung von 1 herzustellen. Es wird eine Gewindetiefe von 0,5 mm verwendet (d. h. 1 mm im Durchmesser), so dass das Ergebnis in der Simulation leicht überprüfbar ist.

Gewindewerkzeug definiert mit dem „korrekten“ Schneidradius von 0,1443 mm nach DIN 13.

Parameter:

h n = Gesamttiefe
c 1 = Erste Zustellung
c n = Letzte Zustellung
n = Anzahl der Schruppschnitte.

Gewindewerkzeug definiert mit einem Standardschneidradius von:

Daher müssen die erste und letzte Zufuhr entsprechend der gewünschten Gesamttiefe und der Anzahl der Schruppschnitte (und umgekehrt) gewählt werden.

Wenn der verwendete Postprozessor die Gewindebearbeitung als Maschinenzyklus ausgibt (z. B. CYCLE97 für SIEMENS oder G76 für Fanuc), sind die wesentlichen Parameter die Gewindesteigung, die Gesamttiefe und die Anzahl der (Schrupp-)Schnitte. In diesem Fall ist der SN-Code in jedem Fall korrekt.

Eine falsche Kombination von Parametern kann zu einer falschen Simulation der Gewindebearbeitung führen. Wenn der verwendete Postprozessor keinen Maschinenzyklus ausgibt, sondern die einzelnen Schnitte mit G33, ist der SN-Code auch in diesem Fall falsch!

(question) Frage

Für das Innengewinde , möchte ich eine größere Sicherheit als im Prozess.

(tick) Lösung

Die Z Position zwischen den Durchgängen wird durch die ausgewählte Geometrie gesteuert .
Was die letzter Rückzug Bewegung betrifft, wird diese durch Messlehre Prüfung gesteuert.

Da die Geometrie eine Anfahrabstand aufweist, steuert der Werkzeugweg den Z-Rückzug 7 mm vom Beginn des Geometrieelements aus.

Um am Ende einen Rückzug zu haben, der größer ist als während des Vorgangs, können Sie einen Wert in den Sicherheitsabstand in Z für Eilgänge .

(question) Frage

festlegen. Wie definiert man MTE-Einstellungen für Bearbeitungszyklen Synchronisierung?

(tick) Lösung

Bei Maschinen mit mehreren Revolvern verbessert die Möglichkeit, verschiedene Zyklen zu synchronisieren, die Effizienz des Bearbeitungsprozesses, indem Leerlaufzeiten der Werkzeuge reduziert und die Bearbeitungszeiten jedes Zyklus ohne Kollisionen überlappt werden.

Um in GO2cam die Synchronisierung zwischen 2 Zyklen zu definieren, können Sie die folgenden Schritte ausführen:

Definieren Sie Ihre Bearbeitungszyklen wie gewohnt mit separaten Werkzeugen.

In diesem Beispiel möchten wir beispielsweise den Nutenzyklus Direct_1 (grüne Werkzeugwege) mit dem Schruppzyklus an der angegebenen Stelle (wie eingekreist) synchronisieren. Ziel ist es, den Nutenzyklus genau dann zu starten, wenn der Schruppzyklus den eingekreisten Punkt erreicht.

Dazu Rechtsklick auf den benötigten Zyklus, in diesem Fall den Schruppzyklus, und wählen Sie Erstellung aus der Toolpath Techno Auswahl.

Wählen Sie Toolpath Synchro aus der Dropdown-Liste.

Dann können Sie die Werkzeugwegparameter auswählen, um das zu synchronisierende Element zu definieren. Klicken Sie auf OK und bestätigen Sie.

Für dieses Beispiel wählen wir das Elementende und klicken auf die Werkzeugweglinie, die den eingekreisten Bereich (im vorherigen Bild) berührt.

Dasselbe wiederholen wir für den Nutenstechen-Zyklus (Direct_1). Für den Werkzeugwegparameter wählen wir Zyklusstart und wählen die Nutenstechen-Werkzeugwege aus.

Als Nächstes können Sie in der Maschinenumgebung Ihre Maschine laden, falls Sie dies noch nicht getan haben, und Ihre Werkzeuge nach Bedarf einrichten.

Schließlich können Sie Ihre Synchronisierung überprüfen, indem Sie auf die Synchronisierungsfunktion klicken. Sie können die Synchronisierung zwischen den Zyklen im Zeitdiagramm sehen.

(blue star) You can watch a video of the example with some additional details below:

MTE Synchro-20240814-051305.png


(question) Frage

How can I layout a turning part and its components?

(tick) Lösung

Beim Drehen haben wir im Menü NC-Datei die Option Zur Layout/Bemaßung wechseln im Abschnitt zum Einklappen.

Ihre Maschine sollte mit den Symbolen geladen sein: Spannfutter und Backen .

Sie müssen sicherstellen, dass die Symbole aus dem sym Ordner stammen, der sich im GO2cam-Verzeichnis befindet.

In einigen Fällen befindet es sich möglicherweise außerhalb dieses Ordners, und GO2cam fordert eine Warnung .

Kopieren Sie einfach die Dateien im sym-Ordner: C:\GO2cam_Intl\GO2camV6XX\sym

Wenn Sie auf das Symbol klicken, erscheint ein Dialogfeld:

Das Dialogfeld ermöglicht es Ihnen:

  • Die Farbe des Layouts auszuwählen.

  • Die Bezeichnungen der ausgewählten Zyklen anzuzeigen.

Wählen Sie die Zyklen aus, die Sie im Layout verwenden möchten, und klicken Sie auf das grüne Häkchen, um zu bestätigen .

GO2cam öffnet ein speichert als Dialogfeld zum Speichern der Datei, bevor die Umgebung gewechselt wird.

Im Layout-Design / Bemaßung können Sie mit dem Zeichnen des Layouts beginnen.

(question) Frage

How can I program inside roughing using a radial toolpath?

(tick) Lösung

Um ein Schruppen im Inneren mit einem radialen Werkzeugweg zu erreichen, gehen Sie wie folgt vor:

  1. Profilrichtung: Definieren Sie die Profilrichtung für den Werkzeugweg. Normalerweise „Von oben nach unten“.

image-20240528-101840.png
  1. Stellen Sie den Zyklustyp auf "Fläche" als Bearbeitungsstrategie ein. Dies ist entscheidend, da die Strategie „Fläche“ es dem Werkzeugweg ermöglicht, innen das Teilprofil zu bearbeiten.

Sehen Sie sich rechts ein Video an, das den Prozess erklärt.

image-20240528-102200.png

inside and Facing toolpaths-20240814-051357.png

(question) Frage

How can I create a toolpath manually in GO2cam?

(tick) Lösung

Die Möglichkeit, einen Werkzeugweg manuell zu definieren, ist besonders wichtig bei der Anwendung spezifischer Formwerkzeuge . Solche Werkzeuge haben unterschiedliche Schneidformen und ihr Schnittweg muss sorgfältig gesteuert werden, um das Risiko von Kollisionen zu vermeiden. Der Zyklus Punkt zu Punkt hilft dabei.

Er ist zugänglich unter dem Teil Untermenü.

Point to Point.png

Der Punkt-zu-Punkt-Zyklus ist ein 100% manueller Zyklus mit minimalen Parametern. Er wird verwendet, um spezifische Werkzeugwege zu generieren, die mit anderen Zyklen nicht definiert werden können. Daher kann sich die Methode der Geometrieauswahl auch geringfügig unterscheiden. Beispielsweise wurde im folgenden Beispiel, um die innere Form mit dieser spezifischen Werkzeugform zu bearbeiten, ein Führungsprofil (rot) gezeichnet, um die Geometrieauswahl insbesondere bei Winkelbewegungen zu unterstützen und Kollisionen zu vermeiden.

Hinweis: Die Führung ist nicht zwingend erforderlich. In anderen Fällen kann der benötigte Werkzeugweg einfach aus dem Teilprofil und den Anfahr-/Rückkehrpunkten definiert werden.

Guide.png

Wählen Sie die Führung aus, um das Profil zu definieren.

Definieren Sie den Anfahrpunktpfad. (rot)

Definieren Sie den Rückkehrpunktpfad. (gelb)

Der Anfahrpunkt definiert zusammen mit dem ausgewählten Profil und dem Rückkehrpunkt die gesamte Bewegung des Pilotpunktes des Werkzeugs.

Wählen Sie das Werkzeug und den Zyklus (der Zyklustyp sollte intern sein) und führen Sie die Berechnung aus.

Dies generiert den Werkzeugweg zur Bearbeitung dieses Profils.

Für diesen Zyklus wird keine Rohteilberechnung durchgeführt. Es gibt auch keine Kollisionsprüfung zwischen Teil und Werkzeug.

Sie können rechts ein Video ansehen, das dieses Beispiel zeigt.

Geometry selection.png

Point to Point-20240814-051442.png

(question) Frage

How can I machine an internal groove which is oriented as an external groove?

(tick) Lösung

Um diese Nut zu bearbeiten, muss die Auswahl in -X-Richtung erfolgen. Daher muss das Teil symmetrische Silhouetten haben, damit die Geometrieauswahl in der unteren Silhouette erfolgen kann.

Auch für die richtige Orientierung des Werkzeugs und um die benötigten Werkzeugwege zu generieren, sollte das Teil in der Nachbearbeitungsspindel positioniert werden.

Sie können rechts ein Video ansehen, das dieses Beispiel zeigt.

Help  - Turning - Machining Inside Groove in -X-20250402-121209.png

(question) Frage

MTE: How can I have 2 different tools in a synchronized cycle?

(tick) Lösung

Definieren Sie Ihren ausgewogenen Schruppen-/Schlichtenzyklus wie gewohnt mit den erforderlichen Synchronisationseinstellungen. Da in diesem Fall ein einzelnes Werkzeug gewählt wurde, wird dasselbe Werkzeug in MTE zweimal geladen.

Initial.PNG

Synchronization parameters-20240624-095710.PNG

Um ein zweites, anderes Werkzeug einstellen zu können, erweitern Sie den Zyklus im Bearbeitungsbaum. Rechtsklick Wählen Sie im bestehenden Werkzeug ' Ein anderes gegenüberliegendes Werkzeug hinzufügen '.

. Dies öffnet erneut das Werkzeugauswahlfenster, in dem Sie das gewünschte Werkzeug auswählen und bestätigen können.

Beide Werkzeuge sind jetzt im Bearbeitungsbaum sichtbar.

In MTE werden diese beiden Werkzeuge bei automatischem Einrichten automatisch auf gegenüberliegenden Revolvern montiert.

Opposite tool.png

2 tools.PNG

Sie können sich ein Video ansehen, das die Anwendung der synchronisierten Ausgleichszyklen erklärt. Springen Sie im Video zu 2.20 , um die Definition von zwei verschiedenen Werkzeugen für den Zyklus anzuzeigen.

Balanced roughing - finishing-20240814-051528.png

(question) Frage

How does the "Deburring Length" parameter work?

(tick) Lösung

Der Parameter "Entgratlänge" bestimmt den Abstand, den das Werkzeug in Z-Richtung fährt, um den Grat an der Stange abzutrennen. Dieser Abstand beinhaltet den Werkzeugradius.

  1. Werkzeugweg: Das Werkzeug folgt einem vorbestimmten Weg entlang des Werkstücks.

  2. Z-Bewegung: Während sich das Werkzeug entlang dieses Weges bewegt, gibt der Parameter "Entgratlänge" an, wie weit sich das Werkzeug in Z-Richtung (nach oben oder unten) bewegen soll, um den Grat abzutrennen.

  3. Gratentfernung: Diese Z-Bewegung entfernt effektiv den Grat, der sich am Ende des Werkstücks bildet.

image-20240913-104130.png

Deburring in Roughing.png

(question) Frage

How to do turning operation on Milling Machine?

(tick) Lösung

Um Drehbearbeitungen auf Ihrer Fräsmaschine durchzuführen:

  1. Maschinenaufbau:

    • Die Maschine muss zuerst als Drehmaschine im Bereich Maschinenerstellung definiert werden. ( Durch Wiederverkäufer )

    • Ihre Maschine muss eine 5-Achsen-Fräsmaschine mit Drehtisch

    • Die Vertikaldrehmaschine Modul sein. Dies ist erforderlich

  2. Werkstückspannung:

    • Nur Backen sind zum Spannen des Werkstücks zulässig

  3. Bearbeitung:

    • Verwenden Sie das Vertikaldrehmaschinenmodul, um die Drehoperation einzustellen.

Turning on milling machine.png